Altímetro barométrico

     Es el más común de todos, su funcionamiento está basado en la relación entre presión y altitud, la presión atmosférica desciende con la altitud, aproximadamente, 1 milibar por cada 27 pies (8,2 metros) de altitud. Toman como base de referencia el nivel del mar, pero su funcionamiento está condicionado a los cambios metereológicos, por lo que un altímetro de cierta calidad debería permitir compensar las variaciones de presión provocadas por el clima un barómetro de precisión puede obtener una precisión de 0,2 mbar equivalente a 2m de altitud.

     Estos altímetros tienen un funcionamiento irregular si el cambio de altitud es muy brusco, ya que tardan en responder y captar la presión atmosférica; tampoco funcionan bien si, por ejemplo, se realiza la ascensión en un coche con las ventanillas cerradas, ya que en el interior del coche con las ventanillas cerradas la presión será muy diferente a la del exterior.

La fórmula para calibrar un altímetro (hasta 36.090 pies) es la siguiente:

Dónde h indica la altitud en pies, P0 es la presión estática y Pref es la presión de referencia (ambas en la misma unidad).

Altímetro radioeléctrico

     Estos aparatos son pequeños radares que miden la distancia entre dos vehículos aéreos y con respecto al suelo, este se usa sobre todo en bombas y misiles. Altímetros de impulsos o de frecuencia son similares a este pero funcionan emitiendo otro tipo de señales. Algunos de ellos se están montando en satélites con fines científicos para el estudio del geoide, de la dinámica marina, de las variaciones del nivel del mar, y para el análisis de la topografía de las masas continentales. Entre otros satélites altimétricos encontramos el SeaSat, el TOPEX/Poseidon y el Jason-1, de la colaboración CNES/NASA, y el ERS-1, el ERS-2 y el EnviSat, de la European Spatial Agency (ESA).

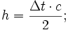
    El funcionamiento del altímetro radioeléctrico es diferente al del altímetro barométrico. Miden la distancia mediante la emisión de pulsos electromagnéticos y el registro del tiempo transcurrido desde la emisión del pulso, y la recepción del eco de retorno de la señal. Como las ondas electromagnéticas viajan a la velocidad de la luz, el cálculo de la distancia es inmediato, teniendo en cuenta que el tiempo medido es doble y por tanto ha de dividirse entre 2.

donde h es la distancia medida en milímetros, t el tiempo en segundos, y c la velocidad de la luz expresada en mm/s.

Altímetro por GPS

    Consiste en ubicar un punto de la superficie terrestre midiendo la distancia a un grupo de satélites y realizando una triangulación. 

     Las distancias se calculan en función del tiempo que tarda una señal de radio emitida por el satélite en llegar al GPS  que incorpora un receptor, que es capaz de medir el tiempo con una precisión de manosegundos, (0,000000001 segundos).

     En función de la tecnología utilizada se pueden obtener precisiones en altitud de 10 cm. Existen GPS  de bolsillo (ver GPS Navegación) que pueden dar una precisión altimétrica de 15-20 metros, y que para mejorar la precisión incorporan un altímetro barométrico con el que se consiguen precisiones de +- 5 metros.

www.gisiberica.com