| RL000 , RL000-1 A RL013 |
Autores: Berta Obon, Míriam Piqué y Santiago Saura.
Centre de Ciència i Tecnologia Forestal de Catalunya (CTFC) y Universitat de Lleida.
Edita: Centre de la Propietat Forestal. Generalitat de Catalunya.
Año: 2009
Traducción del manual al castellano.
1- INTRODUCCIÓN
El objetivo principal de un inventario forestal es describir la realidad estructural y específica de una masa forestal de la manera más fiel posible. Alcanzar este objetivo no es fácil, porque existe una gran variabilidad de tipologías de masa forestal, desde masas irregulares con diferentes distribuciones espaciales, hasta plantaciones o repoblaciones coetáneas con una distribución regular en el espacio, todas ellas con densidades, estructuras y grados de desarrollo muy diversos. Esto hace que, para cada situación, el mejor procedimiento para llevar a cabo el inventario forestal pueda ser diferente.
Antes de llevar a cabo un inventario forestal hay que decidir qué variables se quieren medir y cuál es el tipo de muestreo más adecuado a la realidad con la que nos encontraremos. También se debe definir con qué intensidad (superficie inventariada respecto superficie total) se debe realizar el muestreo de campo (diseñar el muestreo), para cuantificar con un error mínimo aceptable las variables estudiadas. La elección del tipo de parcela es muy importante a la hora de obtener toda la información necesaria con una eficacia estadística razonable ya un coste asumible.
El Relascopio de Bitterlich es el dendròmetre de múltiple uso más empleado en el campo forestal, y aunque la aplicación más conocida y utilizada es la estima del área basal de manera muy rápida y sencilla, este aparato permite medir tanto parámetros de El árbol individual (dendromètrics) como de la masa forestal (dasomètrics).
Este documento describe los diferentes usos y aplicaciones del Relascopio de Bitterlich así como sus condicionantes de uso, haciendo especial incidencia en su aplicación a los inventarios forestales. Concretamente se describen los errores más frecuentes a la hora de utilizar el aparato así como sus principales limitaciones, proporcionando además recomendaciones sobre su uso a la hora de estimar variables dasomètriques como alternativa al tradicional inventario mediante parcelas las de radio fijo.
1.1. Descripción física y funcionamiento del aparato.
Se trata de una pequeña caja metálica (14 x 4 x 7 cm) que pesa unos 400 g, fácil de usar y de transportar (Figura 1). El aparato se puede colgar del cuello fijándose una correa de cuero. Se puede usar con una sola mano, pero para medidas que requieran gran precisión dispone de una rosca en su parte inferior que permite fijar el aparato sobre un trípode.
Tres ventanas circulares de cristal esmerilado, dos laterales y una frontal, dejan pasar la luz necesaria para una buena visualización de las lecturas en el interior del aparato. Además, hay una ventana frontal (objetivo) que dispone de una visera metálica móvil para regular la iluminación interior del aparato, facilitando las lecturas y evitando el deslumbramiento del operario en caso de hacer medidas con el sol de frente.

Figura 1. Vista exterior de un Relascopio de Bitterlich con sus partes.
En el interior del aparato (Figura 2) hay un tambor metálico que lleva impresas las bandas y escalas graduadas de lectura. Este tambor gira alrededor de un eje horizontal cuando se pulsa el botón pulsador, liberando un péndulo que se mueve por gravedad, para corregir el efecto de la pendiente en las medidas realizadas tal y como se verá más adelante. Si no se pulsa el botón pulsador, el tambor queda fijado.
Figura 2. Esquema del interior de un Relascopio de Bitterlich con sus partes.
A través del visor se puede ver un campo circular dividido en dos mitades por una línea horizontal, la línea de horizonte o línea de puntería (Figura 3). En el semicírculo superior se ven los árboles para medir, mientras que en el semicírculo inferior se ven las diversas escalas graduadas y las bandas del Relascopio, blancas y negras alternativamente. Las lecturas se realizan sobre esta línea horizontal que separa los dos campos.
Figura 3
. Visión a través del Relascopio de Bitterlich. Campo circular dividido horizontalmente en dos mitades por la línea de horizonte. Subir los árboles que se quieren medir, abajo las bandas y escalas graduadas del Relascopio.
La anchura de las bandas varía según el coseno del ángulo de visión en relación al plano horizontal, de modo que en proyección horizontal la relación entre el espesor de la banda y la distancia al objeto visado se mantiene constante. Así, las bandas disminuyen su anchura en ambos sentidos cuando se alejan de la horizontal, para corregir el efecto de la pendiente (Figura 4). Al tomar las medidas, se visualiza el árbol y se pulsa el botón pulsador que libera el tambor (Figura 2) donde están grabadas las escaleras y bandas. Una vez estabilizado por gravedad (proceso que se abrevia mucho presionando y soltando sucesivamente el botón pulsador), el tambor se bloquea (soltando el botón pulsador) y se realizan las lecturas.
Figura 4
. Bandas extendidas de dos modelos diferentes de Relascopio de Bitterlich. Se ve como a medida que se alejan de la parte media, las bandas se estrechan para corregir la pendiente del terreno. Izquierda Relascopio modelo MS, derecha Relascopio modelo CP.
1.2. Muestreo por conteo angular.
Las parcelas relascòpiques o de radio variable son parcelas de diámetro indefinido. Para su realización se usa el Relascopio de Bitterlich, y se basan en el método del muestreo por conteo angular, también llamado muestreo puntual. La característica esencial de este método es que se trata de una técnica de inventario estadístico que se basa en un simple recuento del número de árboles el diámetro aparente del que supera un ángulo α de una magnitud dada (Figura 5). El diámetro aparente es la anchura del árbol tal y como se visualiza a través del Relascopio.
Figura 5
. Parcela relascòpica. Los árboles que cuentan son aquellos que las visuales a los extremos de su diámetro normal supera el ángulo predeterminado α. Los árboles límite o dudosos son aquellos que las visuales a los extremos de su diámetro normal coincide con este ángulo α.
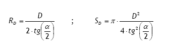
A diferencia de la parcela circular de radio fijo, la forma de este tipo de parcela no se puede definir, ya que la parcela no tiene límite. De hecho es como si inventariéssim los pies de un diámetro dado D sobre una parcela (circular en proyección horizontal) de radio RD y de superficie SD,
Para un ángulo α dado, se inventarían los árboles de una superficie tanto mayor cuanto mayor sea su diámetro, así la parcela no tiene un límite definido, no tiene una superficie definida, su tamaño dependerá de este ángulo α y del diámetro normal D de los árboles inventariados. Mientras que para variar el tamaño de una parcela de radio fijo hay que variar el radio de la misma, en una parcela relascòpica el parámetro que se puede variar para inventariar más o menos árboles es el ángulo α, que viene dado por el ancho de banda seleccionada en el Relascopio, tal y como se describe más adelante.
La probabilidad de un árbol a ser medido en el caso de una parcela de radio fijo es igual para todos los árboles, sólo depende del radio de la parcela, mientras que en un muestreo por conteo angular la probabilidad de un árbol a ser medido es proporcional a su área basal (o sección normal), así un árbol de tamaño grande tiene más probabilidad de ser seleccionado para ser medido que un árbol de pequeño tamaño.
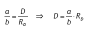
Si no se conoce el ángulo α que forman las dos visuales dirigidas hacia los extremos de la sección normal del árbol, se puede situar de forma paralela a su diámetro un objeto de ancho conocida a, A una distancia conocida b del ojo del observador (Figura 6), entonces conociendo la distancia RD árbol, por triángulos semejantes se obtiene el diámetro D del árbol,
Figura 6.
Situando de forma paralela al diámetro del árbol un objeto de ancho conocida a a una distancia conocida b del ojo del observador, y conociendo la distancia en proyección horizontal RD árbol, por triángulos semejantes se obtiene el diámetro D del árbol.
El Relascopio está diseñado según este principio, de manera que las bandas se asimilan al objeto de ancho a que se sitúa entre el árbol y el observador. Cada una de las bandas del Relascopio tiene una relación a / b constante y característica para cada lado, que cumple la relación,
donde a es la anchura de la banda, b es la distancia del ocular a la imagen de la banda, y q es el número de bandas de cuarto del Relascopio (ver Apartado 1.3. Descripción de los diferentes modelos de Relascopio).
Este método permite calcular las distancias recorridas por las visuales al objeto (Rβ), Aunque es más interesante determinar esta misma distancia en proyección horizontal (RD). Si el terreno es plano, los dos valores coinciden, pero cuando el terreno es inclinado a realizar una corrección angular (Figura 7), modificando el ancho de la banda a según el coseno del ángulo que forma la visual con la horizontal (β).
Figura 7
. Cómo varía la anchura de las bandas del Relascopio para corregir el efecto de la pendiente del terreno (β).
Las bandas del Relascopio de Bitterlich corrigen esta variación angular de manera automática, pulsando y soltando el botón pulsador repetidamente para estabilizar el tambor que lleva las escaleras y bandas impresas. No es necesario pues hacer ningún tipo de corrección a las lecturas realizadas con este aparato, si se han realizado una vez estabilizado definitivamente el tambor.
Las parcelas relascòpiques son más difíciles de imaginar y entender conceptualmente que las parcelas de superficie definida o de número de árboles definido, en cambio, se instalan y se miden de una manera muy rápida y sencilla . Además, el principio es simple: se realiza una vuelta completa en el horizonte (360 º) y se tienen en cuenta todos los árboles el diámetro aparente de los cuales desde el centro de la parcela y 1,30 m de altura, sea superior en la banda elegida anteriormente (correspondiente a un ángulo horizontal fijado α), adecuada al tipo de masa forestal que se esté inventariando (ver Apartado 4.3.). Durante la realización de la vuelta completa en el horizonte (360 º), el Relascopio debe mantenerse fijo sobre el punto de muestreo, de manera que el operario permanezca situado detrás de él, para no sobreestimar los árboles contados ( véase Apartado 4.2.).
1.3. Descripción de los diferentes modelos de Relascopio
El Relascopio de espejos (Spiegel-Relaskop) es el Relascopio que Bitterlich creó en 1952. A partir de este primer modelo se han realizado mejoras técnicas del aparato y se han diseñado nuevas versiones con más aplicaciones para diferentes medidas forestales. Existen cuatro modelos de Relascopio, adaptados a las necesidades de las diferentes masas forestales y los diferentes sistemas de medida, además del tele-Relascopio.
Los dos modelos más usados en nuestros bosques son el modelo MS y el CP, y es por esta razón que explica su funcionamiento en el siguiente apartado (Apartado 2. Aplicaciones y usos del Relascopio).
El método operativo para realizar medidas dendromètriques es diferente según si se usa el modelo MS o el modelo CP (ver Apartado 2.2.), Mientras que para realizar medidas dasomètriques, el modo de uso es el mismo con ambos modelos ( véase Apartado 2.3.).
1.3.1. Modelo MS: "Metric Standard"
Usado en Europa y en latitudes cercanas a las zonas de clima templado, donde los árboles no suelen alcanzar tamaños superiores a 80 cm de diámetro normal. Está especialmente diseñado para medir alturas de árboles desde las distancias preestablecidas 15, 20, 25 y 30 m.
En el modelo MS, de izquierda a derecha se observan las siguientes escalas y bandas (Figura 8):
A. Escala h20, Para medir alturas de árboles desde una distancia horizontal de 20 m.
B. Banda de los unos, para medir áreas basales.
C. Banda de los cuartos, formada por cuatro bandas estrechas, la anchura conjunta de las cuales es igual a la anchura de la banda de los unos, para medir áreas basales.
B-C. La banda de unos con las cuatro bandas de los cuartos, en conjunto forman la banda de los cuatro, para medir áreas basales y diámetros en altura.
D. Escala h25, Para medir alturas de árboles desde una distancia horizontal de 25 m.
E. Escala h30, Para medir alturas de árboles desde una distancia horizontal de 30 m.
F. Banda de los doses, para medir áreas basales y distancias en combinación con las bandas D30, D25, D20 y D15.
G-H. Bandas D30, D25, D20, D15, Para situarse a una distancia horizontal de 30, 25, 20 y 15 m, respectivamente, con la ayuda de una vista vertical de dos metros de longitud.
Figura 8
. Detalle de las escaleras y bandas de un Relascopio de Bitterlich modelo Metric Standard.
1.3.2. Modelo WS: "Wide Scale"
El Relascopio más usado en bosques tropicales. Sus escaleras están pensadas para la medición de árboles con diámetros muy grandes. En general nuestros bosques no presentan árboles de diámetros tan grandes, es por ello que en este manual no se profundiza en su descripción y modo de uso.
1.3.3. Modelo CP: "Metrisch Correction Porcentaje"
Introducido en 1983, combina en un único aparato las propiedades de los dos modelos anteriores (MS y WS).
En el modelo CP, de izquierda a derecha se observan las siguientes escalas y bandas (Figura 9):
CP. Valores CP de porcentajes de corrección.
A. Banda de los treses.
B. Una banda de unos, equivalente a una Unidad de Relascopio (UR).
C. Banda de los doses.
D, E, F, G. Cuatro bandas más los unos.
H-I. Banda de los cuatro, que comprende una banda ancha blanca (H) equivalente a una parte de los unos, y las cuatro bandas estrechas de los cuartos (I) que también equivalen en conjunto a una parte de los unos.
P. Escala de pendiente en porcentaje, para medir alturas y pendientes.
D. Escala de pendiente en grados, para medir alturas y pendientes.
Figura 9
. Detalle de las escaleras y bandas de un Relascopio de Bitterlich modelo Metrisch Correction Porcentaje. Los números inferiores leídos de derecha a izquierda corresponden a las Unidades de Relascopio (UR).
Cada lado del Relascopio tiene asociado un valor de UR (Unidad de Relascopio). Estas UR se leen de derecha a izquierda (Figura 9), con el origen al 0 (entre la banda 4 y las cuatro bandas de cuarto). Por ejemplo, para una anchura correspondiente a tres bandas de unos (del 0 al 3 en la Figura 9), corresponden tres UR. Estas Unidades de Relascopio sirven para determinar porcentajes en distancias horizontales, y hacen más ágil la determinación de distancias horizontales, tal y como se explica en apartados posteriores. Una UR equivale a un 2% de distancia horizontal.
1.3.4. Modelo Escala Americana: "American Scale"
Similar al modelo CP, con la diferencia de las unidades de medida, que en este caso son las sajonas. Como estas unidades no se usan en nuestro ámbito, el documento no profundiza en su descripción ni en su modo de uso.
1.3.5. Telerelascopio
La gran diferencia con los modelos anteriores es que introduce un aumento de ocho en la lectura de las escalas, lo que aumenta la precisión en las medidas y la disminución del error cometido. El campo visual consta de cuatro bandas de igual anchura (unidad taquimétrica básica), con relación a/b = 1 / 100 (Figura 10). De estas cuatro bandas, la situada más a la derecha sirve de aproximación y se divide en diez partes iguales, con una relación a/b = 1 / 1000, lo que aumenta la sensibilidad del aparato hasta apreciar fácilmente el centímetro. Por otra parte no hay que situarse a una distancia fija al árbol, ya que la escala de las bandas se puede deducir en cada caso determinando por la lectura que cubren las cuatro bandas en una regla graduado colocado horizontalmente en el lado del árbol.
Este modelo de Relascopio se usa de manera mucho menos frecuente que el resto porque el aparato es más complejo, se necesita un trípode, su uso es menos ágil y su coste es mucho más elevado en relación a los otros cuatro modelos. Por eso sólo se utiliza en casos en que se necesite alcanzar una precisión muy grande y este manual no profundiza más en su descripción ni en el modo de uso.
Figura 10
. Telerelascopio montado sobre un trípode. 1. visor; 2. objetivo; 3. botón pulsador que libera el tambor; 4. botón que controla la iluminación interior del aparato; 5. punto de mira posterior; 6. punto de mira delantero.
2 APLICACIONES Y USOS DEL Relascopio
Los usos más interesantes del Relascopio de Bitterlich de cara a llevar a cabo un inventario forestal son las medidas dendrométricas y las dasométricas, pero también se pueden medir otros parámetros, como se verá en este apartado.
Los modelos de Relascopio más usados en Europa (MS y CP) miden exactamente los mismos parámetros. Mientras que para medidas dasomètriques su funcionamiento es exactamente igual para ambos modelos, para tomar medidas del terreno y medidas dendromètriques el procedimiento es diferente. En estos casos el manual explica el modo de uso de ambos modelos por separado.
2.1. Medidas del terreno
2.1.1. Pendientes
Existen otros aparatos para medir pendientes del terreno igual de precisos y más económicos que el Relascopio, pero si ya se está usando el Relascopio para hacer un inventario forestal, no será necesario llevar encima otro aparato para medir pendientes porque esta aplicación ya está incorporada en ambos modelos. El modelo MS del Relascopio no tiene ninguna escala específica para medir directamente la pendiente del terreno, por eso se mide de manera indirecta mediante las escalas de medida de alturas. En cambio el modelo CP funciona como cualquier clisímetre, tiene dos bandas específicas para medir la pendiente, la escala P graduada en porcentaje, escala D graduada en grados.
¿Cómo?
MS.
El procedimiento para medir la pendiente con el modelo MS es el siguiente: se dirige una visual paralela al terreno, visant a una altura igual a la altura de los ojos del observador, y se lee el valor que marca en cualquiera de las escalas de medida de alturas (hescala) (Figura 11). Este valor será la diferencia de cota sobre el terreno entre dos puntos, separados por una distancia horizontal igual a la de la escala usada (Rescala = 15, 20, 25 o 30 m). La pendiente en porcentaje (P%) Se calcula multiplicando por ciento el valor leído (hescala), Y dividiéndolo por la distancia horizontal que corresponde a la escala usada (Rescala).
Figura 11
. Como se estima el valor de la pendiente del terreno con el Relascopio de Bitterlich.
Como se puede ver en la figura 11, para medir la pendiente del terreno, no hay que situarse a ninguna distancia horizontal prefijada.
La escala que más se usa es la que corresponde a una distancia horizontal de 20, así la pendiente en porcentaje es cinco veces el valor leído escala en dirigir la visual paralela al terreno.
CP
Para medir la pendiente del terreno con el modelo CP, se dirige una visual paralela al terreno, visant a una altura igual a la altura de los ojos del observador, y se lee directamente el valor de la pendiente en porcentaje o en grados a las escalas graduadas P o D respectivamente (ver Figura 9).
2.1.2. Distancias en proyección horizontal.
Existen aparatos que miden las distancias en proyección horizontal de manera mucho más sencilla y rápida (p. ej. Cinta métrica, distanciómetro) que usando el Relascopio. Es por esta razón que a la hora de medir este parámetro no se acostumbra a usar el Relascopio, aunque como que la aplicación está incorporada al aparato, a continuación se explica su funcionamiento.
Para medir distancias en proyección horizontal, el modelo MS necesita la ayuda de una vista vertical de dos metros de longitud, que tenga los dos extremos y el centro bien marcados (el mercado existen miras específicas para el Relascopio Bitterlich, pero se puede usar cualquier mira siempre que tenga la misma longitud y bien marcados los extremos y el centro). El Relascopio modelo MS permite situarse en las distancias en proyección horizontal fijas de 15, 20, 25 y 30 metros, mientras que el Relascopio modelo CP permite situarse a cualquier distancia.
¿Cómo?
MS
Se extiende totalmente la vista vertical de dos metros y se clava sobre la corteza del árbol desde el cual se desea conocer la distancia horizontal, mediante los punzones de que dispone en ambos extremos. El centro de la mira se sitúa a la altura de la mirada del observador (aunque esto no es imprescindible), se busca un punto de buena visibilidad, aproximadamente a la distancia en proyección horizontal deseada respecto árbol. Con el Relascopio en posición normal (vertical), y con las bandas liberadas (botón pulsado), se dirige una visual de forma que la línea de puntería coincida con el centro de la mira. Si el centro de la mira se ha colocado a la altura de la mirada del observador, la visual es paralela al terreno. Una vez las bandas se hayan estabilizado, se fija su posición soltando el botón y se gira el Relascopio 90 º en sentido inverso al de las agujas del reloj. Ahora la línea que separa las bandas del paisaje aparece vertical y las escaleras y bandas en el semicírculo de la derecha, donde se puede leer la palabra "unten" (que significa "abajo" en alemán) (Figura 12). Se avanza o se retrocede hasta que los extremos de la mira queden entre el borde inferior del lado de los doses (justo encima de la palabra "unten") y el borde superior a la banda de distancias elegida. En este momento el observador está situado a una distancia árbol, en proyección horizontal, igual a la banda de distancias elegida (15, 20, 25 o 30 metros).
Figura 12
. La vista vertical de dos metros apoyada en un árbol se ve enrasada entre la banda de distancia de 15 metros y la palabra "unten". El observador se encuentra situado a 15 metros del árbol en proyección horizontal.
También se puede usar una mirada que no mida dos metros de largo, y la metodología es similar: por ejemplo, si se usa una mira de un metro de largo, es posible situarse en las distancias de 7,5; 10 ; 12,5 y 15 metros usando las escalas respectivas de 15, 20, 25 y 30 metros.
CP
Método 1: Mediante una vista vertical de longitud l (habitualmente l= 2m), se lanzan dos visuales, una en cada extremo de la mira, y se leen los valores a la escala de pendientes P. Llamamos psup a la lectura superior de la mira, pbase a la lectura inferior, y l a la longitud de la mira (en centímetros), entonces la distancia horizontal RR (en metros) será,
Método 2:
Otro método, recomendado para distancias horizontales pequeñas dado que la precisión de este método es limitada, consiste en utilizar una mirada horizontal de longitud l equivalencia de las UR (Unidades de Relascopio) en porcentajes de distancia horizontal (véase Apartado 1.3.3).
Se sitúa la mira en posición horizontal sobre el árbol al que queremos medir la distancia, a 1,30 m de altura. Entonces el operario debe procurar que a través del Relascopio el extremo izquierdo de la mira coincida visualmente con un extremo izquierdo de banda, extremo derecho de la mirilla coincida visualmente con el campo de las bandas de los cuartos (Figura 13). Se cuenta el número de UR que la mira ocupa y se transforman en un porcentaje equivalente de distancia horizontal (1 UR = 2% de distancia horizontal). Entonces,
Donde DR es la distancia en proyección horizontal y l es la longitud de la mira.
Así, por ejemplo (Figura 12), para una mirada horizontal de 120 cm situada a una distancia desconocida, se leen 4,5 UR, equivalentes a 9%, entonces, 120 cm / 0,09 = 1333,33 cm = 13 , 33 m de distancia en proyección horizontal.
Figura 13
. Medida de la distancia en proyección horizontal mediante el modelo CP, con mira horizontal de 120 cm de longitud y adecuado el ejemplo del texto.
2.2. Medidas dendrométricas
2.2.1. Alturas del árbol.
Ambos modelos (MS y CP) miden alturas mediante principios trigonométricos, pero el procedimiento es diferente. El modelo MS mide las alturas de manera directa y hay que colocar a una distancia horizontal árbol prefijada para sus escalas graduadas de altura (20, 25 o 30 m), aunque también se puede medir la altura desde cualquier distancia realizando una corrección después de efectuar las lecturas. En cambio el modelo CP lleva incorporada una escala para medir inglés en porcentaje (escala P, Figura 9) que permite medir las alturas del árbol de manera indirecta desde cualquier distancia árbol.
¿Cómo?
MS
Elegir una distancia (20, 25 o 30 m) árbol, la más parecida a su altura total estimada de manera aproximada. Desde esta distancia se dirige una visual en el extremo superior del árbol y se lee, la escala que corresponde a la distancia elegida, el valor (hápice) que aparece en la línea de puntería. También se dirige una visual en la base del árbol y se anota la nueva lectura (hbase). La altura total, en metros, se obtiene restando a la lectura del ápice la lectura de la base, teniendo en cuenta sus signos,
Para no cometer errores en la lectura de las escalas se ha de observar si la línea de puntería intercepta la escala por encima (+) o por debajo (-) del cero.
Figura 14
. Medida de la altura de un árbol con el modelo MS desde una distancia cualquiera.
En el caso que el observador se sitúe a una distancia RA diferente de la distancia RD de la escala utilizada (Figura 14), lo que se obtiene es una altura aparente del árbol (haparente), Entonces la altura real del árbol será,
CP
Desde cualquier distancia árbol, se dirige una visual en el extremo superior del árbol y se lee el valor escala P de pendientes (pápice), Y una visual en la base del árbol (pbase). Conociendo la distancia al árbol (RD), La altura del árbol (h) Será,
De la misma manera que con el modelo MS, para no cometer errores en la lectura de las escalas se ha de observar si la línea de puntería intercepta la escala por encima (+) o por debajo (-) del cero.
En ambos casos se pueden medir alturas parciales. Por ejemplo, si lo que queremos es medir una altura concreta del árbol (p. ej. Hasta cierto diámetro) en lugar de visualizar hasta el ápice del árbol, se visualiza hasta la altura donde el árbol tiene por diámetro lo que buscamos. Entonces anotamos hdiámetro en lugar de hápice (modelo MS) o Pdiámetro en lugar de pápice (modelo CP), siendo los cálculos totalmente análogos a los anteriores. Para medir diámetros del árbol a diferentes alturas, se procede como en el siguiente apartado.
2.2.2. Diámetro a cualquier altura del árbol.
El Relascopio permite efectuar medidas de diámetros a cualquier altura del árbol, lo cual es muy interesante sobre todo si se trata de alturas mayores donde no se puede llegar con forcípulas finlandesa. Esta aplicación, junto con la de poder medir las alturas de los árboles (véase Apartado 2.2.1.), Permite también medir sus volúmenes, Cubic los árboles por secciones o por el método Pressler-Bitterlich (ver Apartados 2.2.3. Y 2.2. 4. respectivamente).
También es posible medir el diámetro normal, pero no es aconsejable, ya que es más preciso y rápido realizar esta medida simplemente mediante una cinta diametral o una forcípulas.
¿Cómo?
MS y CP
El proceso es el mismo con ambos modelos (MS y CP).
Desde una distancia horizontal árbol conocida (RD), Enrasa la sección del diámetro que queremos medir con la línea de horizonte del aparato (ver Apartado 1.1. Y Figura 3). Se hace coincidir esta sección sobre la parte 1 y las de cuarto (banda de los cuatro, ver Figura 8 y Figura 9), y se cuenta el número de bandas de cuarto (teniendo en cuenta que la banda 1 corresponde a cuatro bandas de cuarto) cubiertas por el tronco del árbol. Entonces,
Donde D es el diámetro (cm), RD es la distancia horizontal al árbol (m), y q es el número de bandas de cuarto cubiertas por el tronco.
Por ejemplo, si la sección del tronco se cubre con 6,5 bandas de cuarto (ver Figura 15) y la distancia al árbol es de 10 metros, el diámetro del árbol a esta altura mide 32,5 cm.
Figura 15
. Medida del diámetro a cualquier altura del tronco, adaptada ejemplo del texto.
Estas medidas de diámetros con el Relascopio no son muy exactos, ya que normalmente no se puede precisar más allá de media banda de cuarto, lo que representa un error en la estima del diámetro de 2,5 cm desde una distancia de 10 m, o de 5 cm desde una distancia de 20 m.
2.2.3. Volumen del árbol en pie por secciones.
Para cubica un árbol en pie por secciones es necesario conocer los diámetros en los extremos de cada sección y la longitud de todas las secciones. El Relascopio permite estimar los diámetros del tronco a distintas alturas (ver Apartado 2.2.2.), Y además permite medir estas alturas (véase Apartado 2.2.1).
¿Cómo?
MS y CP
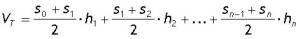
Es posible realizar la cubicación de un árbol sin tener que tirar al suelo ni de trepar, dividiendo el tronco del árbol en secciones imaginarias (Figura 16) con las medidas relascòpiques de diámetro del tronco (D) A diferentes alturas y las de estas alturas (h), Y calculando el volumen de cada sección según la siguiente fórmula, la de Smalian,
donde V es el volumen (m3) De la sección imaginaria del tronco, sy y si +1 son las secciones (m2) En sus extremos, y hi +1 es la longitud (m) de esta sección imaginaria (Figura 15).
Figura 16
. Tronco de un árbol dividido en secciones imaginarias para calcular su volumen total. Se aconseja hacer secciones de longitud menor a un metro en los primeros diez metros.
El volumen total del tronco del árbol (VT) Será,
2.2.4. Volumen del árbol en pie por el método Pressler-Bitterlich.
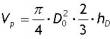
Esta es una de las aplicaciones más relevantes del Relascopio. La fórmula de Pressler permite calcular el volumen total de un árbol de una sola vez, de manera muy rápida y suficientemente precisa. Su expresión matemática es la siguiente,
donde Vp es el volumen total del árbol (en m3) Estimado por la fórmula de Pressler, D0 es el diámetro en la base (en m), y hD (en m) es la altura directriz de Pressler (la altura donde el diámetro del árbol es la mitad del diámetro en la base, ver Figura 17). Esta fórmula es muy aproximada para el neilode, y exacta para el cono y el paraboloide, que son las formas que se asimilan habitualmente en los troncos de los árboles.
¿Cómo?
MS y CP
El operador debe acercarse o alejarse del árbol hasta localizar una distancia desde la cual su diámetro en la base esté cubierto por un número de bandas que corresponda exactamente a un número par de bandas de cuarto; normalmente se usa la banda de unos combinada con cuatro bandas de cuarto, equivalente a ocho bandas de cuarto, o la banda de los unos con dos bandas de cuarto, equivalente a seis bandas de cuarto. Desde la misma posición y con el tambor liberado (pulsando el botón), se eleva la visual siguiendo el tronco, hasta la altura en que el diámetro del árbol esté cubierto por la mitad del número de bandas de cuarto que cubría el diámetro en la base (Figura 17). Este es el punto que determina la altura directriz del árbol (hD) Que se puede medir según el procedimiento explicado en el apartado 2.2.1.
Figura 17. Determinación de la altura directriz (hD) Para cubica un árbol por el método Pressler-Bitterlich.
En la práctica, para reducir la influencia de las posibles irregularidades del tronco a ras de tierra que afectarían exactitud del método, se recomienda aplicar la fórmula de Pressler para cubica la parte del árbol que va desde la sección normal (1 , 30 m) hasta la altura donde la sección del tronco es la mitad de la sección normal, y cúbicos parte la sección del tronco que va desde la base del árbol hasta la sección normal mediante la fórmula de Smalian ( véase Apartado 2.2.3.). Entonces la fórmula de Pressler para calcular el volumen total del árbol con el diámetro normal queda,
donde D es el diámetro normal (m), D0 es el diámetro en la base (en m) y (en m) es la altura medida desde la sección normal del árbol (1,30 m) hasta donde el diámetro del tronco es la mitad del diámetro normal, donde la sección del tronco ocupa la mitad de bandas de cuarto que en la sección normal, de manera análoga a lo descrito anteriormente.
2.3. Medidas dasométricas
A diferencia de las medidas dendromètriques, en que la metodología a seguir con los dos modelos de Relascopio (MS y CP) eran bien diferentes, las medidas dasomètriques se realizan de la misma manera con ambos modelos.
2.3.1. Área basal
Medir el área basal con un Relascopio es fácil y rápido. Es la aplicación más usada ya que con un muestreo por conteo angular se puede estimar el área basal de una masa forestal (G, Expresada en m2/ ha), mediante cualquiera de las bandas del Relascopio, o cualquier combinación de bandas, sin necesidad de conocer la superficie que ocupan los árboles ni sus diámetros, lo que resulta mucho más rápida y fácil de llevar a cabo que mediante las parcelas de radio fijo.
¿Cómo?
Situarse en un punto cualquiera de muestreo previamente seleccionado, elegir un ancho de banda adecuado a las características de la masa (Ver Apartado 4.3.), Y con el tambor de escaleras y bandas liberado (pulsando el botón pulsador), se dirige una visual a la altura del diámetro normal de todos los árboles que aparezcan en una vuelta de 360 º sobre nosotros mismos. Se cuentan todos los árboles el diámetro normal aparente sea mayor que el ancho de banda elegido; los árboles con diámetro normal aparente igual al ancho de banda elegido se contarán como medio árbol (árbol dudoso, árbol límite) (Figura 18 , véase también Figura 5), no se contarán los árboles que tengan un diámetro normal aparente menor a este ancho de banda.
Figura 18
. Habiendo elegido la parte 1, adecuada a las características de la masa: a la izquierda, el árbol se contabiliza como una unidad, en medio del árbol es límite, cuenta como medio árbol, a la derecha del árbol es fuera , no se contabiliza.
Es muy importante visar el diámetro de los árboles exactamente a la altura normal, a 1,30 m del suelo desde la parte del tronco situado aguas arriba de la ladera. Si la visual se dirige pendiente arriba se puede incurrir en el error de visar a 1,30 m desde la parte del tronco situado aguas abajo, entonces se sobreestima el valor del área basal para que se contabilizan árboles que en realidad no entrarían en el muestreo ya que su diámetro normal real no superaría el ancho de banda utilizado.
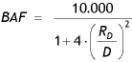
Una vez realizada la vuelta completa en el horizonte, el área basal (G) Será igual (ver ejemplo práctico en el apartado 2.3.3.) Al resultado de multiplicar el factor de área basal (BAF) correspondiente al ancho de banda elegido, por el número de árboles contabilizados (n), siendo n = 1 si el diámetro normal aparente del árbol es mayor que el ancho de banda utilizada, in = 0,5 por árboles dudosos o límite, el diámetro normal aparente de los cuales es exactamente igual que el ancho de banda utilizada (ver Figura 5 y Figura 18).
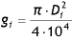
El factor de área basal (BAF) de las bandas del Relascopio (Tabla 1) depende del ancho de la banda y el número equivalente de bandas de cuarto (q), Y se calcula según,
El Relascopio dispone de algunas bandas diseñadas con una anchura concreta, de manera que les corresponda un BAF entero: son las llamadas bandas de los unos (BAF = 1), aparte de los doses (BAF = 2) y parte de los treses (BAF = 3 ), (ver Figura 8, Figura 9, y Tabla 1).
Para estimar el área basal de una masa forestal (ver Apartado 4), se suele usar una de estas tres bandas (unos, doses o treses), pero también es posible usar cualquier combinación de bandas conociendo qué BAF les corresponde (Tabla 1). En el Apartado 4.3. se proporcionan las recomendaciones sobre qué ancho de banda es mejor usar en cada caso.
Tabla 1
. Relación entre anchos de banda del Relascopio y el Factor de Area Basal (BAF). B1 (aparte de los unos), B2 (aparte de los doses), B3 (aparte de los treses), B4 (aparte de los cuatro, equivalente a una parte de los unos más cuatro bandas de cuarto), ver Figura 8 y Figura 9. Para cada parte, también se muestra la equivalencia en bandas de cuarto (q).
|
Banda
|
1 q |
2 q |
3 q |
B 1
(4 q) |
B1 + 1q
(5 q) |
B 2
(5,66 q) |
B1 + 2q
(6 q) |
B 3
(6,93 q) |
B1 + 3q
(7 q) |
B 4
(B1 + 4Q)
(8 q) |
|
BAF
|
0,0625 |
0,25 |
0,5625 |
1 |
1,5625 |
2 |
2,25 |
3 |
3,0625 |
4 |
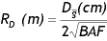
Si un árbol es dudoso y se quiere estimar el área basal con mucha precisión se mide el diámetro del árbol y la distancia del árbol al centro de parcela, entonces si el cociente entre el diámetro del árbol (D) Y la distancia al centro de la parcela (RD) Es mayor que el número de bandas de cuarto dividido por 200, el árbol no se contabiliza.
Los árboles que se encuentran situados exactamente en el límite de la parcela circular de radio RD del muestreo por conteo angular cumplen la igualdad anterior, y se contabilizan como medio árbol (n = 0,5). Es esencial que la distancia horizontal (RD) Se mida la altura normal, desde el punto de muestreo hasta el eje vertical del árbol que pasa por el centro de su sección transversal.
2.3.2. Distribución de pies por hectárea según clase diametral.
El Relascopio no da esta información de manera directa, y además, introduce un sesgo al elegir los árboles con probabilidad proporcional a su diámetro normal, es decir, que el número de árboles de diferente tamaño contabilizados con el Relascopio no se puede considerar como un estimador directo de la distribución diametral de la masa. El procedimiento para estimar la distribución de pies por hectárea según clase diametral no es tan ágil y rápida como es la estima del área basal. Aquí no basta con contabilizar los árboles que entran en la parcela relascòpica, sino que además se ha de medir el diámetro normal en todos ellos. Esto hace que las medidas sean más lentas, similares a cuando se realiza una parcela de radio fijo.
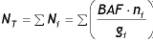
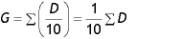
Así, para calcular (ver ejemplo práctico en el apartado 2.3.3.) El número de pies por hectárea (N), Primero se multiplica la inversa del valor del área basal de cada árbol contabilizado (g, En m2) Por el BAF que se haya elegido (ver Tabla 2) y por el valor equivalente del árbol (n= 0,5 si se trata de un árbol dudoso, n= 1 si el árbol ha entrado sin problema).
Finalmente se agrupan los árboles por clase diametral y se calcula la distribución de pies por hectárea según clase diametral como se explica en el siguiente apartado (ver Tabla 3). El hecho de agrupar los árboles por clases diametrales es necesario para que se compensen los errores y los resultados finales sean más fiables.
2.3.3. Ejemplo práctico.
En una masa arbolada de Pinus nigra en el Prepirineo catalán, se ha realizado una parcela relascòpica eligiendo la banda de los doses (BAF = 2). Los árboles contabilizados se les ha medido el diámetro normal (Dy, En cm) y se ha anotado el valor equivalente (ny) De cada árbol contabilizado (n= 1 si el árbol entra, n= 0,5 si el árbol es límite) (ver Tabla 2).
Cálculo del área basal y distribución de los pies por hectárea según clase diametral.
Tabla 2. Árboles medidos en una parcela relascòpica de Pinus nigra en el Prepirineo catalán. Valor equivalente (n), Diámetro normal (D), Sección normal (gy) Y densidad de cada árbol (Ny).
Se calcula la sección normal de cada árbol (gy, En m2), Así como la densidad que representa cada árbol (Ny, Pies / ha),
El área basal total de la parcela (G) Es igual al BAF correspondiente a la banda elegida (en este caso BAF = 2) por el sumatorio de los valores equivalentes de todos los árboles contabilizados (n, En este caso n= 20).
G = 2 · 20 = 40 m2
La densidad total de la parcela (NT) Será la suma de las densidades (Ny) Correspondientes a todos los árboles contabilizados en la parcela (Tabla 2).
N = 1353.32 pies / ha
Para calcular la distribución de pies por hectárea según clase diametral, se agrupan los árboles contabilizados en el muestreo anterior según la clase diametral a la que pertenezcan (Tabla 3). Una vez los árboles agrupados, se suman las respectivas densidades (Ny), Obteniendo la densidad (ND) Para cada clase diametral. Agrupar por clases diametrales es necesario para que los resultados sean fiables, ya que de esta manera se compensan los errores.
Tabla 3
. Densidades agrupadas por clases diametrales.
|
Clase diametral
(cm) |
ND
(pies / ha) |
|
10 |
598 |
|
15 |
151 |
|
20 |
162 |
|
25 |
293 |
|
30 |
53 |
|
35 |
84 |
|
40 |
0 |
|
45 |
6 |
Estos cálculos se refieren a un solo punto de muestreo. Los resultados a nivel de masa se calculan como la media de todos los puntos de muestreo, según el tipo de inventario que se haya llevado a cabo (ver Apartado 3).
2.3.4. Existencias
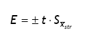
Para el cálculo de las existencias, en masas regulares o coetáneas se acostumbra a usar la fórmula,
donde, E son las existencias (m3/ ha), G es el área basal (m2/ ha), hmedia es la altura media de los árboles (m) y coef. mórfico es el coeficiente mórfico medio. Ya se ha visto que el área basal es muy rápida de estimar mediante el Relascopio (véase Apartado 2.3.1.), Entonces se puede estimar las existencias también de manera rápida.
Existe otro método para estimar las existencias con el Relascopio, mediante cualesquiera de sus bandas o cualquier combinación de bandas, midiendo las alturas críticas de los árboles que entran en el muestreo y sin necesidad de conocer la superficie que ocupan estos árboles ni tampoco los sus diámetros o su coeficiente de forma, aunque es un método poco contrastado y muy laborioso, de modo que en la práctica no se suele usar en los inventarios forestales.
¿Cómo?
Situarse en un punto cualquiera de muestreo previamente seleccionado, y de manera análoga al cálculo del área basal (ver Apartado 2.3.1.) Se dirige una visual a la altura del diámetro normal de todos los árboles que aparezcan en una vuelta de 360 º sobre nosotros mismos. A todos los árboles el diámetro normal aparente sea mayor que el ancho de banda elegido, se les mide la altura crítica (hC). La altura crítica se define como la distancia vertical entre el suelo y un punto del árbol donde su diámetro aparente coincide exactamente con el ancho de banda del Relascopio elegida (Figura 19).
Figura 19
. Ejemplo de cálculo de la altura crítica de un árbol. Altura del árbol desde su base hasta donde su diámetro aparente coincide con el ancho de banda elegida.
Una vez realizada la vuelta completa en el horizonte, el valor de las existencias (m3/ ha) será igual al resultado de multiplicar el factor de área basal (BAF) correspondiente al ancho de banda elegido (ver Tabla 1), por el sumatorio de las alturas críticas (m) de los árboles contabilizados (Σ hc).
Las medidas de alturas críticas para calcular las existencias de la masa, se recomienda hacerlas sólo en una de cada tres o cuatro parcelas inventariadas usando la misma anchura de banda que para al'estima del área basal, o bien realizar las medidas en todas las parcelas de inventario pero usando un ancho de banda mayor que nos seleccione menos árboles a medir.
Medir las existencias de la masa forestal siguiendo este método presenta ciertos problemas o inconvenientes, tales como:
En masas muy densas o árboles con mucha rama, se hace difícil determinar la altura crítica por falta de visibilidad.
Frente a la alternativa más común de estimar las existencias, que es elegir de tres a cinco árboles tipo para medir sus volúmenes, con este método se ha de medir las alturas de más árboles, y además no se conocen sus volúmenes unitarios, sólo las existencias globales de la masa.
2.4. Otras aplicaciones
Existen muchas otras aplicaciones posibles con el Relascopio, pero que se usan de manera poco frecuente, entre las que destacan las siguientes:
2.4.1. Replantear parcelas circulares
Con la ayuda de una mirada circular, con el Relascopio se pueden replantear parcelas circulares de radio fijo, en vez de usar una cinta métrica o un distanciómetro.
¿Cómo?
Se instala en el centro de la parcela una mirada circular (Figura 20) de diámetro conocido. El observador se coloca junto a un árbol dudoso y comprueba con el tambor del Relascopio liberado (pulsando el botón pulsador), si desde esa distancia la banda elegida correspondiente al radio de la parcela (como se explica a continuación) es mayor, menor o igual que el diámetro de la mirilla circular.
Figura 20
. Mira circular en el centro de una parcela de radio fijo, replanteada con Relascopio.
Si la banda es mayor que el ancho de la mira circular, el árbol es fuera, si la banda es menor que el ancho de la mira circular, el árbol está dentro, y si la banda es de igual anchura l 'árbol es límite (Figura 21).
Figura 21
. Habiendo elegido la banda de los unos más las cuatro bandas de cuarto (equivalente aparte de los cuatro), se visualiza la mira circular desde el árbol dudoso o límite: el árbol a) está fuera de la parcela, el árbol b) es un árbol límite, il'arbre c) es dentro de la parcela.
Llamando m al diámetro (en metros) de la mira, r al radio (en metros) de la parcela, y q al número de bandas de cuarto equivalentes anchura de banda del Relascopio, se cumple la relación,
Así, conociendo el radio r de la parcela que se desea replantear, se puede determinar el número de bandas de cuarto a usar (q), Según el diámetro m de la mirilla circular de que disponemos.
En el caso de disponer de un Relascopio modelo MS, también se puede usar alguna de sus bandas diseñadas para determinar las distancias en proyección horizontal (ver Figura 8), ya que su relación a/b (ver Apartado 1.2. y Figura 6) equivale a la relación l / RD, Donde l es la longitud (2 metros) de la vista vertical del Relascopio para determinar distancias horizontales, y RD la distancia horizontal por la que está diseñada la banda (15, 20, 25 o 30 m). Como en el caso anterior, se llama m al diámetro de la mira, y r al radio de la parcela, entonces,
Por ejemplo, si se quiere replantear una parcela de 10 metros de radio (r) Usando la banda correspondiente a 20 metros de distancia horizontal (RD), El diámetro de la mirilla circular (m) Debe ser de un metro.
2.4.2. Transectos relascòpics.
Una variante del muestreo por conteo angular, es el muestreo por transectos relascòpics, con parcelas rectangulares de amplitud variable.
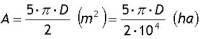
Una modalidad de estos transectos relascòpics aplicada de manera frecuente es la siguiente: consiste en ir siguiendo las curvas de nivel del terreno y, de manera sistemática, cada x metros realizar una parcela rectangular de 5π metros de largo (Figura 22). La anchura de la parcela es variable, en función de los diámetros de los árboles que se encuentren, al igual que ocurre con el muestreo por conteo angular clásico. Los diámetros de los árboles se miden en centímetros y el conteo de los árboles se realiza con la banda de los unos. Así, la anchura crítica o máxima de la parcela, en metros, es 50 ·D/ 100 = D / 2, entonces el área marginal (A) Para cada árbol es (Figura 22),
Figura 22.
Esquema de una parcela rectangular de un muestreo por transectos relascòpics.
y la sección del árbol (s) En metros cuadrados es,
entonces el área basal que aporta cada árbol contabilizado (g), En metros cuadrados por hectárea,
Los árboles límite o dudosos también contabilizan como medio árbol (ver Figura 5). Finalmente, el valor del área basal total (G), Será la décima parte del sumatorio de todos los diámetros normales de los árboles contabilizados.
Este ejemplo es de los más usados por la facilidad de cálculos posteriores, pero se pueden realizar transectos relascòpics de otra longitud que 5π m, así como usar una banda diferente que la de los unos. Entonces las fórmulas anteriores no son válidas pero se pueden obtener siguiendo el mismo procedimiento que en este caso.
2.4.3. Madera de árboles caídos.
El principio del muestreo por conteo angular ha sido recientemente aplicado al'estima de la cantidad de madera muerta procedente de árboles caídos. Esta nueva aplicación relascòpica, que todavía está en fase experimental, se usa para el estudio de la biodiversidad o del decaimiento de las masas forestales. La sencillez del método a campo puede hacer posible la inclusión del estudio de la madera muerta en el tradicional inventario de árboles en pie de una manera alternativa a la de las parcelas de radio fijo.
Las bandas del Relascopio usadas individualmente no sirven para realizar este tipo de muestreo, que se determina si una madera caída se contabiliza o no entra en función de su longitud y no de su diámetro, para eso hay que construir un aparato específico (Figura 23).
Figura 23
. Aparato específico para inventariar la madera muerta caída.
Se trata de un listón con unas marcas para determinar la amplitud del ángulo elegido (a), equivalente al'amplitud de banda y un cordel que fija la distancia del ojo del observador al instrumento (b) , (véase también Figura 6).
¿Cómo?
De manera similar que para los árboles en pie, se realiza una vuelta completa en el horizonte (360 º), y se visan los troncos caídos a través de este aparato. Si la longitud del tronco (l) Sobrepasa la amplitud del ángulo elegido (α), el tronco se contabiliza (Figura 24), y si no lo sobrepasa no se contabiliza.
Figura 24
. Medidas para determinar si un árbol límite se contabiliza o no.
En el caso de los troncos límite (Figura 24), hay que medir la distancia desde el punto de observación en los dos extremos del tronco caído (x y y), Entonces se puede calcular la longitud crítica (lc), Y determinar si el tronco se contabiliza o no,
Si la longitud del tronco (l) Es mayor o igual que la longitud crítica (lc), El árbol se contabiliza.
Así, el área de inclusión (Ay) Para cada tronco caído es,
donde,
A todos los troncos caídos contabilizados se les mide el diámetro menor (d), El diámetro mayor (D), Y la longitud del tronco (l), Para calcular su volumen mediante, por ejemplo, la fórmula de Smalian (véase Apartado 2.2.3.).
Entonces, para calcular el volumen de madera caída en m3/ ha (V) En la parcela,
donde Vy es el volumen de un tronco caído, ly es su longitud, y el LAF es un factor de proporcionalidad (análogo al BAF del Relascopio) respecto al ángulo elegido (ver Tabla 4).
Tabla 4.
En función del ángulo (α), valores de LAF, φ, Y anchura entre marcas (a) Cuando la distancia al ojo (b) Es de 30 cm.
|
α
|
φ
|
LAF (m2/ ha)
|
a (cm)
|
|
30 |
6,10 |
1638,80 |
16,08 |
|
45 |
2,86 |
3501,16 |
24,85 |
|
60 |
1,68 |
5934,93 |
34,64 |
|
90 |
0,79 |
12732,40 |
60,00 |
Esta aplicación del muestreo por conteo angular presenta algunos inconvenientes como por ejemplo que no permite la corrección de la pendiente del terreno o que considera que todos los troncos caídos son rectas
2.4.4. Cúbica madera empilada
El volumen de la madera empilada estima normalmente a partir del factor de conversión (volumen aparente / volumen real de madera). Con el método de conteo angular se puede encontrar fácilmente este factor de conversión (coeficiente de pila).
En la Figura 25 se puede ver dos instrumentos propuestos por Bitterlich, que se pueden construir de forma casera con cualquier material rígido. La dimensión de D es igual al diámetro del tronco mayor que se encuentre en la pila de madera.
La relación entre el área ocupada por las secciones de los troncos interceptados área muestreada es igual a sin2(α / 2), en la figura superior es igual a 1:100, mientras que en la figura inferior es igual a 1:25.
Figura 25
. Instrumento basado en el método del muestreo por conteo angular para la cubicación de madera empilada. En la figura superior, la relación entre el área muestreada y las secciones de los troncos interceptadas (sin2(α / 2)) es de 1:100, mientras que en la figura inferior es de 1:25.
A mayor diámetro de los troncos empilats, mayor debe ser la relación anterior ya la inversa, de manera análoga que por la anchura de banda del Relascopio. El coeficiente de pila (C) Será
donde n es el número de troncos interceptados por el instrumento.
¿Cómo?
Se clava el instrumento en la pila de madera por el punto B, como se ve en la Figura 26, y se hace girar sobre sí mismo 360 º. Se marcan todos los troncos la sección supere la anchura del instrumento, y cuando se ha completado la vuelta entera se cuenta cuántos troncos se han marcado. Los troncos dudosos se les cuenta como medio tronco. En la Figura 26 se ha usado un instrumento con razón 1:100 y se han contado 57 troncos, esto quiere decir que el factor de conversión entre el volumen aparente de la pila de madera y el volumen real de madera es de 0,57 .
Figura 26
. Madera apilada con las secciones de los troncos interceptadas por el instrumento de razón 1:100, marcadas con una cruz.
2.5.
Otros aparatos basados en el principio del conteo angular.
Los instrumentos que se describen en este apartado son mucho más sencillos y económicos que el Relascopio Bitterlich, pero el gran inconveniente que presentan es que no corrigen el efecto de la pendiente. Tampoco disponen de las otras prestaciones para medir variables dendromètriques con las que sí cuenta el Relascopio. Por eso su uso es mucho más limitado.
2.5.1. Cuñas prismáticos.
Se trata de prismas estrechos de vidrio o plástico que refractan los rayos luminosos que pasan a través de un ángulo constante característico. Se utilizan básicamente para medir áreas basales (G) De una masa forestal.
Si se mira a través de un prisma, la refracción que se produce al pasar la luz por el aparato causa un desplazamiento de la imagen del objeto que se observa a través de él (Figura 27). El aparato se usa visant simultáneamente a través del prisma y por encima de él, de manera que enrasa la parte superior de la cuña con la altura del diámetro normal del árbol, y se comprueba que el desplazamiento aparente del tronco es menor, igual o superior al diámetro del tronco en esa sección (Figura 27).
Figura 27
. La refracción que se produce al pasar la luz a través del prisma provoca un desplazamiento de la imagen del objeto que se observa a través de él. Árboles vistos a través de una cuña prismático: a) el árbol contabiliza como una unidad, b) El árbol contabiliza como una mitad (árbol límite), c) el árbol no se contabiliza.
Este desplazamiento depende de las dioptrías del prisma, que a su vez son función del ángulo entre las dos superficies de la cuña. Un prisma de una dioptría desplaza una imagen una unidad por cada cien unidades de distancia, lo que correspondería a una relación a/b igual a 1 / 100 (ver Apartado 1.2. y Figura 6). De esta manera, cuando el borde izquierdo de un tronco visualizado a través del prisma está alineado con el lado derecho del mismo tronco visualizado por encima del prisma, el diámetro correspondiente será 1 / 100 veces la distancia al árbol, para un prisma de una dioptría. El factor de área basal (BAF) se puede calcular en función de las dioptrías según la siguiente relación:
La distancia entre el ojo y el prisma no afecta al desplazamiento de la imagen provocada por el prisma. El prisma debe mantenerse en posición vertical cuando las medidas se realicen en terreno llano, mientras que si el terreno es inclinado, el prisma se debe colocar en ángulo perpendicular a la línea de visualización.
En el muestreo por conteo angular, los árboles que se ven a través del prisma desplazados una distancia menor que el diámetro aparente, son contabilizados con valor de uno, mientras que los que se ven desplazados una distancia mayor, no se contabilizan (Figura 27 ). En el caso que el árbol se vea desplazado una distancia igual al diámetro aparente del árbol, éste se contabiliza como medio árbol, es un árbol dudoso o árbol límite. Para obtener una estima del área basal con este aparato, se procede de manera idéntica que con el Relascopio, dando una vuelta completa en el horizonte (360 º) con centro en el punto de muestreo, visant cada árbol a la altura de su diámetro normal.
Entonces, el área basal se calcula:
donde BAF es el factor de área basal de la cuña, y n es el número obtenido en contabilizar los árboles como se ha descrito anteriormente.
En terrenos con pendiente, el número de árboles contabilizados produce una estima sesgada del área basal, porque se está observando una distancia del terreno en vez de una distancia horizontal, lo que no ocurre cuando se usa el Relascopio, ya que éste corrige de manera automática el efecto de la pendiente del terreno variando la anchura de las bandas como se ha comentado anteriormente (ver Apartado 1.1.). Entonces se hace necesario efectuar una corrección (1/cos β) Del área basal (G) Estimada en función del pendiente máxima del terreno (β):
Si se usan prismas de los cuales se conoce el factor de área basal sólo de manera aproximada, debe ajustarse para realizar el inventario correctamente. Para ajustar el BAF se puede usar un objeto con ancho conocida, entonces el observador, con el prisma correctamente orientado, se mueve acercándose o alejándose del objetivo hasta que la imagen se desplace como en el caso de un árbol dudoso, aquí se mide la distancia horizontal exacta entre el punto de observación objeto (RD). Este proceso de calibración se debería realizar más de una vez, para evitar los errores de medida. Se calcula el factor de área basal real:
donde RD es la distancia horizontal en metros y D es la anchura del objeto también en metros.
2.5.2. Dendrómetro de Kramer
Es un aparato de medida muy simple que permite estimar diferentes variables como la altura, el volumen del area basal.
Físicamente se trata de una plancha metálica que dispone de un vacío interior donde hay dispuestas diferentes muescas de ancho fijo que se usan como bandas para medir el área basal según el principio del muestreo por conteo angular (Figura 28). Estas bandas tienen un factor de área basal de 1, 2 y 4 cuando se sitúan a una distancia exacta de 50 cm del ojo del observador (el aparato lleva incorporado un cordel y una gafa para colocarse lo exactamente a esa distancia del ojo).
Figura 28
. Dendròmetre de Kramer. En la parte superior se ve la muesca con los tres anchos que corresponden a BAF 1, 2 y 4.
Para obtener una estima del área basal con este aparato, se procede de manera idéntica que con el Relascopio o los prismas, dando una vuelta completa en el horizonte (360 º) con centro en el punto de muestreo, apuntando a cada árbol al altura de su diámetro normal. Los árboles el diámetro sea superior a la anchura de la muesca elegida contabilizan como ave, los que tienen el diámetro exactamente igual a la anchura de la muesca se contabilizan como medio (árboles dudosos o límite), y el resto no se contabilizan.
Al igual que ocurre con los prismas (véase Apartado 2.5.1.), La anchura de las bandas es fija y no varía con la inclinación de la visual, entonces, cuando el muestreo se realiza en terrenos con pendiente (β), También se hace necesario efectuar la corrección (1/cos β) Del área basal (G). Al mismo aparato ya hay impresa una mesa para realizar la corrección por pendiente, en grados y en porcentaje.
En los dos laterales de este dendròmetre hay una regla para medir la altura del árbol (Figura 28), según una simple metodología similar a la del Regla de Christen. Detrás del aparato hay una mesa para estimar el volumen de los árboles en función de la especie, el área basal y la altura.
2.5.3. Clinómetro electrónico con factor angular (Haglofs HEC-R)
Se trata de un aparato electrónico que se usa para hacer parcelas según el principio del muestreo por conteo angular. Consta de dos partes: una pieza de material plástico donde están las muescas de ancho fijo que corresponden a vahos de 0,5; 1; 2 y 4 cuando se sitúa a 60 cm del ojo del observador (el aparato lleva incorporada una cadenita para colocar esta pieza exactamente a la distancia adecuada ojo) y otra parte donde está el aparato electrónico donde se elige el BAF y la medida que estamos realizando según se van pulsando los botones (véase Figura 29).
Figura 29 . Clinómetro electrónico con factor angular (Haglofs HEC-R), y manera de colocar por realizar las medidas, a 60 cm del ojo, distancia determinada por la cadena.
Para estimar el área basal con este aparato, se procede de manera idéntica que con el Relascopio: se da una vuelta completa en el horizonte (360 º) con centro en el punto de muestreo, apuntando a cada árbol a la altura de su diámetro normal . Los árboles el diámetro sea superior a la anchura de la muesca elegida contabilizan como ave, los que tienen el diámetro exactamente igual a la anchura de la muesca se contabilizan como medio (árboles dudosos o límite), y el resto no se contabilizan.
El aparato mide áreas basales, alturas y volúmenes de los árboles, pero no corrige la pendiente de manera automática como el Relascopio, como sucede con los aparatos anteriores (véase Apartado 2.5.1. Y 2.5.2.), El ancho de las bandas es fija y no varía con la inclinación de la visual, entonces, cuando el muestreo se realiza en terrenos con pendiente (β), También se hace necesario efectuar la corrección (1/cos β) Del área basal (G).
2.5.4. Calculadora relascòpica electrónica (Masser RC3)
Se trata de un dendrómetro electrónico que se usa para hacer parcelas según el principio del muestreo por conteo angular.
Las muescas de ancho fijo de la parte superior (ver Figura 30) corresponden a vahos de 0,5; 1, 2, 3 y 4, cuando se sitúa el aparato a una distancia fija al ojo del observador (el aparato lleva incorporada una cadenita para colocarse exactamente a esa distancia del ojo, ver Figura 30). Para obtener una estima del área basal con este aparato, se procede de manera idéntica que con el Relascopio, dando una vuelta completa en el horizonte (360 º) con centro en el punto de muestreo, apuntando a cada árbol a la altura de su diámetro normal. Los árboles el diámetro sea superior a la anchura de la muesca elegida contabilizan como ave, los que tienen el diámetro exactamente igual a la anchura de la muesca se contabilizan como medio (árboles dudosos o límite), y el resto no se contabilizan.
Figura 30
. Calculadora electrónica (Masser RC3), y manera de colocarse por realizar las medidas, a una distancia del ojo determinada por la cadena.
El aparato mide alturas, diámetros a diferentes alturas y volúmenes de los árboles, además de pendientes del terreno y distancias, pero no corrige la pendiente de manera automática como el Relascopio, como sucede con los aparatos anteriores (ver Apartado 2.5.) la anchura de las bandas es fija y no varía con la inclinación de la visual, entonces, cuando el muestreo se realiza en terrenos con pendiente (β), También se hace necesario efectuar la corrección (1/cos β) Del área basal (G). El mismo aparato realiza esta corrección introduciendo la pendiente del terreno en cada medida.
Puede grabar los datos recogidos en 500 parcelas, agrupadas en hasta 20 unidades de inventario, distinguiendo 30 especies arbóreas. Así, si se introduce la superficie de cada unidad, el aparato calcula variables dasomètriques como el área basal, la altura media y las existencias por especie. El aparato se conecta al ordenador y se pueden descargar directamente los datos recogidos en campo.
3 DISEÑO Y INTENSIDAD DE MUESTREO EN INVENTARIOS CON RELASCOPIO
El diseño del muestreo en inventarios con Relascopio se realiza de la misma manera que para los inventarios con parcelas de radio fijo, excepto a la hora de calcular la intensidad del muestreo, donde el cálculo de la superficie de la parcela relascòpica se realiza de diferente manera (ver Apartado 3.3.).
3.1. División de inventario
Previamente a la realización del inventario forestal es importante, sobre todo en bosques con gran variabilidad de tipologías forestales (diferentes especies, estructuras forestales, plantaciones, zonas pasto, etc.), Delimitar e identificar las zonas objeto de inventario (división de inventario).
Mediante fotointerpretación de ortofotomapas y observaciones directas sobre el terreno, se diferencian claramente las superficies forestales arboladas (las que se han de inventariar), de las superficies no forestales y las forestales no arboladas. Una vez identificadas estas superficies forestales arboladas, se definen las diferentes unidades de inventario como unidades de vegetación homogéneas en estructura y composición de especies. Para cada unidad de inventario identificada se debe definir el tipo de inventario y la intensidad de muestreo.
3.2. Tipo de inventario.
3.2.1. Muestreo aleatorio y sistemático.
En un inventario por muestreo aleatorio, todas las unidades son elegidas al azar, es decir, sin que la elección de una influya sobre la otra. Además, toda posible combinación de n unidades elegidas entre las Np (número de parcelas de una dimensión determinada que caben en la superficie a inventariar) que constituyen la población es independiente y equiprobable.
El muestreo aleatorio en principio es menos recomendable, porque la distribución al azar de las parcelas puede provocar su concentración en determinadas zonas y que otros queden insuficientemente cubiertas, entonces se obtendrían resultados poco representativos para la totalidad de la superficie de inventario. Por otra parte, el replanteo del muestreo aleatorio en campo resulta complicado y poco ágil, dado que no son constantes ni la distancia ni el rumbo a recorrer para localizar las parcelas que siguen a la de inicio de inventario. Actualmente la dificultad de localización está resuelta con la utilización del GPS, pero hay que subrayar que un muestreo aleatorio incrementa el tiempo de desplazamiento entre puntos de muestreo y, en consecuencia, el coste de inventario.
Una alternativa al inventario con muestreo aleatorio es el inventario con muestreo sistemático. En este caso las parcelas se disponen en el espacio siguiendo un esquema rígido y determinado, con la finalidad de cubrir de la manera más uniformemente posible la superficie objeto de estudio. Las parcelas se distribuyen en los vértices de una malla que se superpone sobre el plano del monte, cubriéndola en su totalidad. El punto de inicio de inventario se elige de forma aleatoria y, a partir de este punto junto con la orientación y el paso de la malla, se determina la posición del resto de parcelas de manera que la distancia entre ellas es constante.
La malla puede ser cuadrada (situando las parcelas de inventario de manera equidistante), o rectangular (para reducir la distancia entre parcelas y así disminuir los tiempos muertos originados en los recorridos, y siguiendo las curvas de nivel disminuir el cansancio físico de los operarios).
El tratamiento de los datos de inventario en la práctica se realiza mediante los estadísticos del muestreo aleatorio (ver Tabla 5), tanto si se lleva a cabo un muestreo sistemático como si es puramente aleatorio.
3.2.2. Muestreo estratificado.
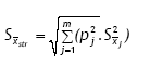
Este método de muestreo se usa en los casos en que un monte presenta una distribución espacial tan heterogénea que permite agrupar de forma clara diversas tipologías de masa forestal con densidades y estructuras bien diferenciadas, de modo que la variabilidad dentro de cada estrato es menor que en el total del monte. Así, la desviación típica y el coeficiente de variación son menores y el número necesario de parcelas de inventario para un error dado también es menor. Dentro de cada estrato se puede decidir hacer un inventario por muestreo aleatorio o bien, de manera más usual, un muestreo sistemático. El tratamiento de los datos obtenidos mediante un muestreo de este tipo se realiza aplicando los estadísticos correspondientes al muestreo estratificado (ver Tabla 8).
Los cálculos se realizan para cada estrato de forma individualizada, como se explica más adelante.
3.2.3. Muestreo dirigido
Este tipo de inventario es aplicable en masas forestales con características especiales, donde existen tipologías de masa forestal bien diferenciadas (diferentes estructuras y composición de especies) que se pueden identificar y delimitar formando rodales o estratos de pequeña dimensión, y donde el aplicación de otros métodos de muestreo en la totalidad del monte no representaría fielmente estas particularidades que presenta.
Se considera un método de muestreo subjetivo para la determinación de la ubicación de las parcelas de muestreo no obedece a una elección al azar o sistemática, sino que se ubican de manera que recojan al máximo estas singularidades.
3.3. Intensidad del muestreo y cálculo del error
La intensidad del muestreo se define como el cociente entre la superficie inventariada y la superficie total del monte a inventariar.
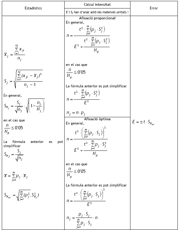
Para estimar el número de parcelas necesarias para inventariar un monte con un error máximo admitido, es necesario conocer previamente los estadísticos que muestran la Tabla 5 y la Tabla 8.
Si se llama fracción de muestreo al cociente n / Np donde n es el número de parcelas de inventario y Np el número total de parcelas que caben en la superficie a inventariar, el número de unidades de muestreo (Np) Que determina la población viene determinado por la expresión,
Cuando la fracción de muestreo (n / Np) Es mayor que 0,05 se dice que la población es finita, en caso contrario se puede suponer con suficiente aproximación que la población a inventariar es una población infinita.
En el caso de un inventario relascòpic, el número de parcelas necesarias para una misma superficie a inventariar puede aumentar (en el caso de poblaciones finitas) al aumentar el ancho de banda elegida para el conteo angular, porque la superficie de la parcela relascòpica disminuye con el aumento de la banda elegida. Por este motivo, el aumento de ancho de banda debe ser corregido con un aumento del número de parcelas realizadas.
La dimensión de una parcela de radio fijo es proporcional a este radio fijado, pero no ocurre lo mismo con la superficie de una parcela de inventario con Relascopio. Como ya se ha visto anteriormente (ver Apartado 1.2.), La parcela relascòpica no tiene límite definido, y para una cierta ancho de banda elegida (BAF), el radio límite donde se contabiliza un árbol determinado depende de su diámetro normal.
Así, en un mismo inventario, la superficie muestreada con las parcelas relascòpiques dependerá del tipo de masa (distribución y diámetros de los árboles que encontramos) y de la banda elegida (BAF). No todas las parcelas relascòpiques dentro de un mismo inventario tendrán la misma superficie, entonces se calcula el área media de todas las parcelas del mismo inventario relascòpic (AP) Como se explica:
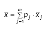
Primeramente se debe calcular el árbol de área basal media de la masa inventariada (
),
Donde N es el número total de árboles por hectárea y G su área basal total.
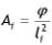
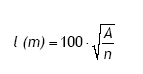
Entonces la superficie media de la parcela de inventario (Ap) Es,
Y el radio de la parcela circular es,
donde
es el diámetro medio cuadrático que corresponde a este árbol de área basal media de la masa,
De ahí, la fracción de muestreo en porcentaje,
donde n es el número total de parcelas inventariadas,
es el área basal del árbol de área basal media de la masa inventariada (m2), A es la superficie total del monte (ha) y BAF es el factor de área basal seleccionado en el muestreo.
Entonces,
Una vez determinado el tamaño de la parcela relascòpica de muestreo, se puede calcular la intensidad de muestreo.
La forma clásica que se ha usado para estimar el número de parcelas a realizar ha sido el cálculo del volumen (con corteza o sin ella), pero este parámetro, al medir de manera indirecta, lleva asociado errores adicionales ya que se realizarán otras medidas que también comportan error (altura de los árboles y coeficientes de forma).
La variable que se usa actualmente para estimar el número de parcelas de muestreo a realizar es el área basal. Esta variable se obtiene directamente de la medida de los diámetros normales de los árboles, y como ya hemos visto, es un cálculo que se realiza de manera muy sencilla y rápida con la ayuda del Relascopio.
En el caso concreto de los PTMGF y PSGF, cuando el objetivo principal es el productor (obtener rendimiento económico con la madera, el corcho u otros productos forestales), el error máximo admitido es de ± 20% en la estima de la área basal, mientras que para otros objetivos donde la producción no es una prioridad (por ejemplo: protección, ocio, paisaje), el error máximo admitido es de ± 25%.
Los estratos definidos en las instrucciones de los PTGMF son unidades de inventario que se muestrean mediante un inventario aleatorio o sistemático, y en este caso cada estrato debe quedar por debajo del error máximo admisible.
El error en el inventario estratificado clásico (proyectos de ordenación regulados por las IGOMA) se calcula para toda el monte, y es el resultado de la media ponderada del error en los diferentes estratos, de modo que pueden existir estratos donde el error sea superior al'admissible, pero que queda compensado por otros estratos donde el error es menor. En montes donde el objetivo principal es el productivo, el error máximo admitido varía entre el 5 y el 15% en la estima de las existencias, mientras que si el objetivo principal es el protector, el error máximo admisible debe ser menor del 30%.
Los estadísticos a utilizar dependen del tipo de muestreo que se haya realizado (ver Tabla 5 por aleatorio y sistemático, y Tabla 8 para estratificado).
Muestreo aleatorio y sistemático.
Tabla 5. Estadísticos, intensidad y error para el muestreo aleatorio o sistemático.
: Media de la muestra de inventario;
Xy: Valor de la variable de estudio en la parcela de inventario número y;
n: Número total de parcelas de inventario;
S: Desviación estándar no sesgada de la muestra. Estadístico de dispersión de los datos respecto a su media (cuanto menor sea este valor, más parecidos son los datos respecto a la media);
NP: Número total de parcelas que caben en la superficie a inventariar, que se obtiene como se explica más adelante;
CV: Coeficiente de variación de la muestra. Estadístico que da idea de cuán diferentes son los datos entre ellas (cuanto más pequeño es el CV más homogénea es la muestra);
t: t de Student;
: Desviación típica de la media.
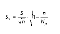
Para determinar el error de muestreo en valor absoluto (E) Para el conjunto del monte que se inventaron debe conocer la desviación típica de la media (
), Que se estima de manera general según la siguiente ecuación,
Entonces, el error de muestreo en valor absoluto (E) es,
donde t es el valor de la t-Student.
El error de muestreo admitido en porcentaje (ε (%)) viene determinado por las instrucciones de ordenación que se empleen. La exigencia de error se fija con una probabilidad fiduciales prefijada que suele ser del 95%. El valor del estadístico t de Student depende de esta probabilidad fiduciales y del número de grados de libertad de la función (gl), que a su vez depende del número de parcelas (n) (gl = n-1).
Para las primeras aproximaciones se suele usar un valor de t = 2, valor que es suficientemente aproximado para inventarios con un mínimo de 30 parcelas (ver Tabla 6). Para inventarios con menos de 30 parcelas de muestreo, se toman valores de t de Student mayores que 2 (véase también Tabla 6).
Se puede determinar la intensidad de muestreo en función del error relativo (en tanto por uno) admitido en la estima del área basal (E) y del coeficiente de variación también en tanto por uno del área basal (CV ), suponiendo que n / Np ≤ 0,05,
Tabla 6. Valor de t de Student en función de los grados de libertad (n-1 parcelas) para p = 95%.
El coeficiente de variación (CV) no lo conocemos, y es por ello que hay que hacer una primera aproximación mediante un muestreo piloto con un número reducido de parcelas (de 10 a 15), para determinar la variabilidad de la masa, o mediante una estima a partir de datos disponibles en montes similares od'inventaris previos en la misma monte, o de la experiencia propia.
El uso del Relascopio es muy práctico, recomendable y útil para la realización de estos muestreos piloto porque permite realizar de una forma rápida, fiable y económica la estima del coeficiente de variación (CV) del área basal (G ) ya partir de estos datos proceder al diseño del muestreo de inventario determinando el número de parcelas finales a realizar por al error admisible prefijado.
El procedimiento general es recalcular el valor de t en función de los grados de libertad. Primero se hace una primera aproximación de n considerando t = 2, según la fórmula anterior. Por ejemplo, supongamos que tenemos que el CV = 0,3 el error admitido es E = 0,15, entonces se deberían realizar n = 16 parcelas,
Seguidamente se busca el nuevo valor de t con g.l. = N-1 (Tabla 6) se introduce este nuevo valor de ta la fórmula de cálculo de número de parcelas. Siguiendo con el ejemplo, el nuevo valor de t con gl = n-1 = 16-1 = 15, según la Tabla 6 es t = 2,131. Ahora se puede calcular un nuevo valor de n
y se busca el valor de t asociado otra vez (Tabla 6: gl = 17; t = 2,110), entonces,
Este proceso de recalcular nits'ha de repetir tantas veces como sea necesario, hasta que el valor de ns'estabilitza (Tabla 7). En este caso del ejemplo se deberían realizar 18 parcelas de inventario para no superar el error admisible.
Tabla 7. Número de parcelas a muestrear según el error relativo admitido (E, en tanto por uno) y el coeficiente de variación (CV, en tanto por uno), (p = 95%)
En el caso de un muestreo sistemático, la longitud del lado de la malla de muestreo (l) se calcula,
donde A es el área total a inventariar (ha), yn es el número de parcelas de muestreo.
Cuando se realiza un muestreo sistemático con el Relascopio, hay que tener en cuenta que para una misma intensidad de muestreo (superficie muestreada respecto superficie total del monte), la malla varía de anchura en función de la banda elegida, porque de esta depende la superficie de la parcela relascòpica (SD) (ver Apartado 1.2. y Apartado 3.3.).
Muestreo estratificado.
En el muestreo estratificado (Tabla 8), para la determinación de la media estratificada (
Xji
es el valor de la variable en la parcela y correspondiente al estrato j;
Nj
el número total de parcelas que cabrían al estrés j;
m
es el número total de estratos en que se ha dividido la superficie a inventariar;
nj
es el número de parcelas de inventario que le corresponden al estrés j, calculado según el número total de parcelas de inventario a realizar en el muestreo (n) Y del peso específico de cada estrato j (pj = Superficie del estrato / superficie total del monte a inventariar).
Una vez determinado el peso para cada estrato, la media estratificada (

Para el cálculo de la desviación típica de la media muestral estratificada (
) Es necesario determinar primero la desviación típica de la muestra correspondiente a cada estrato (Sj), Y con esta calcular la desviación típica de la media muestral de cada estrato (
).
Entonces la desviación típica de la media muestral estratificada se calcula,
Seguidamente, se calcula el error en valor absoluto del muestreo (E) como,
El número de parcelas de inventario necesarias (n) En el caso del muestreo estratificado se calcula según el tipo de afijación (Tabla 8):
Afijación proporcional
Afijación óptima
Define una intensidad de muestreo diferente para cada estrato, de manera que se asigna una mayor intensidad de muestreo en los estratos con una variabilidad mayor (mayor Sj ), Haciendo así que el número total de parcelas de inventario sea mínimo.
En ambos casos, para el cálculo del número de parcelas (n) El error del muestreo (E) Se considera en valor absoluto (y no en porcentaje como en el caso del muestreo aleatorio o sistemático).
Como en el caso del muestreo sistemático es necesario hacer una primera aproximación, en este caso de la desviación estándar no sesgada del área basal (G), En cada uno de los estratos (Sj), Mediante un muestreo piloto con un número reducido de parcelas (de 10 a 15), para determinar la variabilidad de la masa, o mediante una estima a partir de datos disponibles en montes similares od'inventaris previos en la misma monte, o de la experiencia propia.
Tabla 8. Estadísticos, intensidad y error para el muestreo estratificado. Importante tener en cuenta que E y Sj deben introducir en la formula con las mismas unidades (m2/ ha o m2/ parcela).
El uso del Relascopio es muy práctico, recomendable y útil para la realización de estos muestreos piloto porque permite realizar de una forma rápida, fiable y económica la estima del área basal (G) Ya partir de ahí proceder al diseño del muestreo de inventario determinando el número de parcelas finales a realizar por al error admisible prefijado.
4 LIMITACIONES DEL APARATO, ERRORES FRECUENTES Y RECOMENDACIONES DE USO
4.1.
Limitaciones propias del aparato
Las limitaciones siguientes se refieren tanto a las propias del aparato como las que el aparato lleva asociadas a su método operativo.
1. El Relascopio, como todos los aparatos de medida, debería ser comprobado y calibrado regularmente, Preferiblemente antes de realizar el trabajo de campo, comprobando, y si es necesario corrigiendo, el ángulo de visión y la relación D/RD para un factor de área basal dado.
donde RD es la distancia en proyección horizontal árbol, y D es el diámetro normal del árbol (ambos medidos en metros) (ver Apartado 1.2.). Situándonos a una distancia RD (por ejemplo 10 m) a un árbol de diámetro normal conocido (p. ej. 20 cm), este árbol debería coincidir con la banda 1 (BAF = 1). Esta comprobación debe realizarse varias veces para calibrar bien, evitando los errores que conlleva una única comprobación.
2. En condiciones de poca luz ambiental (masa forestal muy cerrada, día nublado u oscuro), se hace difícil determinar las lecturas con el Relascopio, sobre todo sobre las bandas de cuarto (las más estrechas).
3. En bosques muy densos, Se suele cometer dos tipos de errores: A veces se mide el diámetro de un solo árbol cuando en realidad se trata de dos árboles solapados, ya veces se omiten árboles que se encuentran ocultos detrás de otros árboles.
4. En bosques donde existe una gran cantidad de sotobosque su uso es difícil, incluso no recomendable, ya que no se visualizan bien los diámetros normales de los árboles, y los desplazamientos continuos del operador lleva a errores demasiado elevados.
5. Por otra parte, su uso es muy recomendable en bosques con pendiente, Ya que el Relascopio corrige automáticamente el pendiente en realizar las medidas, lo que facilita mucho el trabajo en campo. Teniendo en cuenta sin embargo, que hay que pulsar el botón pulsador que libera el tambor cada vez que medimos un árbol.
6. Las medidas de diámetros con el Relascopio no son muy precisas, Ya que habitualmente no se puede distinguir más que hasta media banda de cuarto, lo que representa un error en la estima del diámetro de 2,5 cm desde una distancia de 10 m, o de 5 cm desde 20 m (véase Apartado 2.2.2.). Además, si el diámetro que se quiere medir se encuentra a cierta altura, las ramas del mismo árbol pueden dificultar la visión. Esto también dificulta la determinación de la altura crítica de los árboles cuando se estiman las existencias (véase Apartado 2.4.1.), Y de las alturas y diámetros a la hora de estimar el volumen en pie del árbol (ver Apartados 2.2.3. y 2.2.4.).
4.2. Errores de uso más frecuentes
Hay que tener especial cuidado al utilizar el Relascopio, para evitar este tipo de errores, evitables si hacemos un buen uso.
1. Se debe poner especial atención a la hora de visar las secciones de los árboles a la altura normal, Sobre todo en el caso de árboles dudosos. Para excluir cualquier sesgo es recomendable marcar la altura normal, especialmente con operadores inexpertos y sobre todo cuando se dirige la visual pendiente arriba, ya que existe una tendencia a visar demasiado abajo (véase Apartado 2.3.1.). Hay que tener en cuenta que cada árbol que se contabiliza de manera errónea introduce un error en la estima del área basal en ese punto igual al BAF correspondiente al ancho de banda elegida, expresado en m2/ ha.
2. La comprobación de los árboles dudosos o límite exige experiencia y un trabajo cuidadoso que minimice esta gran fuente de errores. Muchas veces hay árboles dudosos, es decir, que no se aprecia con exactitud si su diámetro es menor, exactamente igual o mayor que la anchura de la banda usada. Para comprobarlo con exactitud deben hacer medidas extras que llevan tiempo (véase Apartado 2.3.1.), Y por eso normalmente los árboles dudosos se les contabiliza como una mitad.
3. A veces no se completa la vuelta de 360 º, o se contabilizan los primeros árboles dos veces. Esta fuente de sesgo se puede eliminar marcando los puntos de inicio y final, o marcando los árboles muestreados individualmente.
4. Es muy importante que el operario se mantenga en el centro del punto de muestreo, y en el caso que se obstruya la línea de visión de algún árbol, realice un desplazamiento lateral, de tal manera que la distancia al árbol que no se visualiza correctamente no se vea alterada respecto al ojo del observador. Una vez determinado si el árbol se incluye o no en el muestreo, y después de realizar las medidas pertinentes a ese árbol, es muy importante que el operario devuelva a la misma posición inicial, exactamente al mismo punto de centro de parcela la.
5. Cuando el aparato no se instala o no se mantiene en posición completamente vertical sobre el punto de muestreo, Se provoca un sesgo en las lecturas. Lo que debe estar situado sobre el punto de muestreo no es el Relascopio, sino el ojo del observador. Al realizar la vuelta en el horizonte con el Relascopio, el observador puede inclinarse hacia adelante o hacia atrás, o puede realizar una pequeña vuelta sobre sí mismo incurriendo en un error al tomar las medidas. Estos errores se pueden eliminar usando un trípode.
6. La posición del punto de muestreo se debe localizar objetivamente, Es decir, sin ninguna influencia personal de acuerdo a un plan de muestreo rigurosamente controlado. A veces se tiende a seleccionar puntos de muestreo alejados de árboles grandes, de matorral o de ramas que cuelgan, ya que estos dificultan la visión, lo que puede producir estimaciones sesgadas.
4.3. Recomendaciones
A continuación se presentan las principales recomendaciones y condiciones de uso del relacopi, en cuanto a su aplicación en los inventarios forestales y concretamente en la estima de variables dasomètriques.
4.3.1. Elección de la banda o factor BAF
La elección de una banda o BAF óptimo es muy importante para la eficacia del muestreo y la racionalización del inventario forestal. Una vez elegido el BAF se debe usar el mismo en cada punto de muestreo, ya que variaciones del BAF dentro de un mismo inventario pueden introducir errores en las estimaciones y complicaciones estadísticas hora de determinar la precisión en la estima del área basal o densidad. Si la masa se ha estratificado se pueden usar diferentes vahos inventario, pero siempre el mismo BAF dentro de cada estrato.
Como ya se ha dicho, en un muestreo por conteo angular realizado con una ancho de banda pequeña se contabilizan más árboles que si elegimos un ancho de banda mayor (ver Apartado 1.2.). Si se escoge un ancho de banda demasiado pequeña tendrá que medir muchos árboles y el trabajo se hará pesada y monótona, pudiendo ser que haya árboles que se olviden de medir, mientras que si se escoge un ancho de banda demasiado grande, se miden demasiado pocos árboles haciendo que los errores en las estimas de las diferentes variables dasomètriques aumente considerablemente.
Hay que tener en cuenta, también, que cuando se contabiliza un número elevado de árboles en una vuelta completa en el horizonte, el hecho de no contar un árbol tiene menos importancia relativa que si el número de árboles totales a contabilizar es menor.
Por otra parte, como se ha comentado, en masas forestales con una elevada densidad, Una gran presencia de ramas bajas o matorral espeso, los árboles ocultos son la fuente más importante de sesgo, especialmente si el radio virtual de la parcela es demasiado grande, Lo que ocurre cuando se elige un ancho de banda pequeña. Así, es primordial la elección del factor de área basal adecuado al tipo de masa (ver Tabla 9), que además evite los errores causados por los árboles ocultos, sobre todo en condiciones de mala visibilidad.
4.3.2. Ama de variables dasomètriques Una vez analizada la importancia de seleccionar la banda o BAF más adecuado, a fin de contabilizar correctamente los árboles que entran en la parcela relascòpica y posteriormente estimar con mayor éxito laárea basal, La distribución diametral y la densidad, Se presenta la aplicación del Relascopio en la obtención de cada una de estas variables. Estima del área basal Primeramente, hay que remarcar que el Relascopio da muy buenos resultados cuando se estiman áreas basales, Además el método es muy rápido y sencillo (véase Apartado 2.3.1.). De manera muy general, cuando se trata de obtener el área basal mediante el muestreo relascòpic, se recomienda elegir un ancho de banda que contabilice entre 10 y 20 árboles, Es decir, un número ni demasiado grande (que haría aumentar la probabilidad de errores por omisión de un árbol, y haría el trabajo pesada y larga), ni demasiado pequeño (que haría que el error por omisión fuera relativamente elevado y las estimaciones poco precisas). Considerando las tipologías forestales más habituales de nuestros bosques, Se puede decir que en masas con baja densidad o árboles de pequeño diámetro se usa la banda de unos (BAF = 1), Mientras que en masas muy densas o con árboles de diámetro grande, Se usan las bandas de los doses o los treses (BAF = 2, BAF = 3). Estas recomendaciones relativas a la anchura de la banda a utilizar se concretan en la Tabla 9, En función de la estructura de la masa, teniendo en cuenta la distribución diametral (regular o irregular) y los diámetros normales medios o máximos de la masa, que nos dan una idea de la clase natural de edad o estado de desarrollo de la masa y que guardan una relación directa con su densidad. Las recomendaciones para las tipologías de masa forestal caracterizadas por una distribución semirregular se asimilan a las recomendaciones para las tipologías de masa irregulares.
Tabla 9. Ancho de banda relascòpica recomendada para amar el área basal, Para las tipologías de masa más habituales presentes en nuestros bosques. Dmàx es el diámetro normal máximo presente en la masa; Dmig es el diámetro normal medio presente en la masa. ÁREA BASAL
La rápida y precisa estima del área basal con el Relascopio presenta muchas aplicaciones en los inventarios forestales, Como por ejemplo en la realización del muestreo piloto previo al inventario definitivo, Pues de manera muy fiable y rápida se puede estimar el coeficiente de variación (CV, Muestreo sistemático o aleatorio), o de la desviación típica de la muestra en cada estrato (S j, muestreo estratificado) del área basal, para poder diseñar el muestreo final y determinar el número de parcelas a realizar para un error dado (véase Apartado 3).
Otra aplicación interesante se encuentra en la cubicación mediante tarifas de masa, En las que se utilizan las variables área basal y altura media (un ejemplo son las cubicaciones de choperas), o bien en elestima de la producción de corcho en alcornocales, Donde a menudo se utilizan modelos de producción de corcho por superficie del tipo PC = AB · IDM · PCM 2 (en PC: peso del corcho en verde, AB: área basal, IDM: intensidad media de la cáscara, PCM: densidad corcho).
Ama de la distribución diametral y densidad
Cuando se trata de estimar la densidad de la masa o su distribución según la clase diametral (véase Apartado 2.3.2), el proceso no es tan rápido y sencillo como ocurre con la estima del área basal. En general se ha de elegir una parte más pequeña del Relascopio (BAF menor), lo que lleva a medir más árboles, y además estos árboles se les debe medir el diámetro normal.
El hecho de tener que medir el diámetro de cada uno de los árboles que entran en la parcela relascòpica, hace que el procedimiento sea prácticamente igual de costoso (en términos de rendimiento y operarios necesarios) que en el caso de replantear parcelas de
radio fijo. Además, por un mismo número de árboles medidos en parcelas relascòpiques y de radio fijo, las estimaciones de las distribuciones de pies por hectárea y clase diametral y las densidades son en general menos precisas en las parcelas relascòpiques que en las parcelas de radio fijo. Por tanto, en general, se recomienda realizar el inventario mediante parcelas de radio fijo, cuando se deseen estimar estas variables. Solamente en el caso de estructuras con pies de clases diametrales mayores, el Relascopio puede proporcionar resultados similares o incluso notablemente mejores, en cuanto a precisión y rendimiento respecto a las parcelas de radio fijo. Esto viene determinado por el radio de selección de los árboles en una parcela relascòpica en función de su diámetro, de ahí se puede estimar por qué clases diametrales el Relascopio puede proporcionar estimaciones más fiables que las parcelas de radio fijo. Una manera aproximada de calcular el radio de selección de los árboles en una parcela relascòpica es utilizando la expresión:
donde q es el número de bandas de cuarto, R D es la distancia horizontal o radio (cm) y D es el diámetro normal del árbol (cm). Por ejemplo, usando la banda 1 (BAF 1, equivalente a 4 bandas de cuarto), la distancia crítica será igual a 50 veces el diámetro del árbol, si el diámetro máximo es de 30 cm, debe considerarse una distancia máxima de 15 m.
Así pues, en la estima de la distribución diametral y la densidad se recomienda el Relascopio versus las parcelas de radio fijo en estos casos:
- Masas regulares con diámetro medio superior a 20 cm y utilización de la Banda 1.
- Masas regulares con diámetro medio superior a 25-30 cm y utilización de la Banda 2.
- Masas regulares con diámetro medio superior a 35 cm y utilización de la Banda 3.
Ama de las existencias
Hay un método para estimar las existencias directamente con el Relascopio, midiendo las alturas críticas de los árboles que entran en el muestreo habiendo elegido cualquiera de sus bandas (véase Apartado 2.3.4.). Éste está poco contrastado y debería estudiar mejor su eficiencia y fiabilidad.
Medir las existencias de la masa forestal siguiendo este método presenta ciertos problemas o inconvenientes:
Para no aumentar excesivamente el tiempo y los costes del inventario forestal, es recomendable realizar las medidas de alturas críticas para estimar las existencias en una de cada tres o una de cada cuatro parcelas inventariadas, usando la misma anchura de banda que para al'estima del área basal. Otra opción es realizar las medidas en todas las parcelas de inventario pero usando un ancho de banda mayor que para al'estima del área basal, que hará que se seleccionen menos árboles a medir.
Frente a la alternativa más común de estimar las existencias, que es elegir de tres a cinco árboles tipo para medir sus volúmenes según la fórmula de Pressler o según la estima más grosera del coeficiente mórfico del árbol (ver Apartado 2.3.4.), con este método se ha de medir las alturas de más árboles, Y además no se conocen sus volúmenes unitarios, Sólo las existencias globales de la masa.
Por otra parte, cabe destacar que la cubicación de árboles individuales mediante la fórmula de Pressler (véase Apartado 2.2.4.) Es un método eficiente y ampliamente utilizado, al igual que la aplicación del Relascopio en la cubicación mediante tarifas de masa y en la estima de la producción de corcho (véase Eestim del área basal en este mismo apartado).
En masas muy densas o árboles con mucha rama, Se hace difícil determinar la altura crítica para falta de visibilidad.